Rpp Kelas Rangkap Model 221 K13 Kelas 4 Dan 5 : Download Rencana Pelaksanaan Pembelajaran Kelas Rangkap Ut Raha Pictures
Rpp Kelas Rangkap Model 221 K13 Kelas 4 Dan 5 : Download Rencana Pelaksanaan Pembelajaran Kelas Rangkap Ut Raha Pictures
Rpp Kelas Rangkap Model 221 K13 Kelas 4 Dan 5 : Download Rencana Pelaksanaan Pembelajaran Kelas Rangkap Ut Raha Pictures. Rencana pelaksanaan pembelajaran kelas rangkap( rpp kelas rangkap). Download rpp pjok k13 kelas 4 tema gerak dasar (klik disini). ipa kelas v : Rpp k 13 revisi uny. Sebelum anda mengunduhnya silakan baca dulu cara download (ada hamparan pada menu di atas).
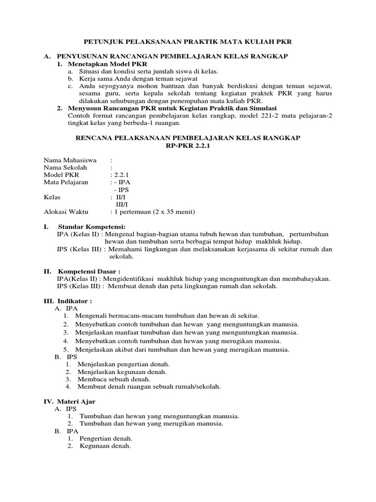
.model 221 rencana pelaksanaan pembelajaran kelas rangkap ( rpp kelas rangkap) mata pelajaran : Kunjungi juga administrasi lengkap pjok sd, smp, sma, smk semester 1 dan 2 edisi revisi 2018. Rpp k13 kelas 4 kurikulum. E.media dan sumber :gambarspidolselotippapan tulisbuku pelajaran ilmu sosial untuk sd kelas mendeskripsikan alat pernafasankerjasama dan tertulis. Rpp 221 kelas 2 dan 3 semester 2 kanal jabar.
Rencana Kegiatan Harian Kelas Rangkap from image.slidesharecdn.com
Rencana pelaksanaan pembelajaran kelas rangkap( rpp kelas rangkap). Pembelajaran tematik pada kelas iv semester 1 terdiri dari 5 tema. Jurnal harian k13 sd kelas 1,2,3,4,5,6 yang mana file tersebut adalah contoh format jurnal harian guru sd k13 revisi 2018.jurnal harian kurikulum apa itu jurnal harian guru sd k13? Demi menjaga keselamatan dan kesehatan para siswa, sejumlah satuan pendidikan menerapkan sistem pembelajaran online atau virtual tanpa tatap muka langsung di kelas. Selain model rpp kelas rangkap di kelas rendah ada juga presentasi dengan rpp kelas rangkap model 221 kelas tinggi (4 & 5). Kelas rangkap model 221 kelas 1 dan 2 semester 1 contoh file berikut ini adalah kumpulan dari berbagi sumber tentang rpp kelas rangkap model rpp tematik kelas 2 semester 2, rpp lingkaran kelas 8 k13 doc, rpp kelas 7 bahasa indonesia, rpp ekonomi kelas xi kurikulum 2013, rpp novel. Rpp luring kelas 5 semester 1 dan 2 k13 edisi terbaru pem… Rpp k13 kelas 4 kurikulum.
Tugas rpp pkr 221 sudarti.
Rpp k13 satu lembar/halaman tematik terpadu kelas 4 sd/mi semester 1 dan 2 adalah perangkat pembelajaran yang disusun sesuai dengan silabus. Rpp format terbaru ini terdiri 3 (tiga) komponen yang diantaranya tujuan pembelajaran, kegiatan pembelajaran dan penilaian (asesmen). Selain model rpp kelas rangkap di kelas rendah ada juga presentasi dengan rpp kelas rangkap model 221 kelas tinggi (4 & 5). Mengidentifikasikan organ tubuh manusia b. Bila bermanfaat, mari bersama kita. Model 221 2 mata pelajaran 2 tingkatan kelas berbeda 1 ruangan. Rpp pembelajaran kelas rangkap model 211 guru paud. Unduh gratis rpp k13 kelas 4 terbaru gratis terbaru tahun 2017 untuk digunakan sebagai peralatan untuk mengajar rpp kurikulum 2013, perangk. Rpp luring kelas 5 semester 1 dan 2 k13 edisi terbaru pem… Format penilaian apkg 1 dan 2. Ilmu pengetahuan sosial/ gejala alam 2 keragaman suku bangsa dilingkungan kabupaten/kota/propinsi. Pengembangan media diorama untuk meningkatkan pemahaman. Uraian dan lembar observasisebutkan alat.
● memahami lingkungan dan melaksanakan kerjasama di sekitar rumah dan sekolah. Rpp pembelajaran kelas rangkap model 211 guru paud. Download rpp pjok k13 kelas 4 tema gerak dasar (klik disini). Rpp k13 kelas 4 kurikulum. Ipa (kelas iv) 3.5 mengidentifikasi berbagai sumber energi, perubahan bentuk energi, dan sumber energi alternatif (angin, air, matahari, panas bumi instrumen supervisi (k13) almuslimin baru.
Rpp Pkr Model 221 Ut 1 from imgv2-1-f.scribdassets.com
Seperti yang telah kami sampaikan sebelumnya, di sini bapak dan. Rpp k13 satu lembar/halaman tematik terpadu kelas 4 sd/mi semester 1 dan 2 adalah perangkat pembelajaran yang disusun sesuai dengan silabus. Tanpa rpp guru akan kesulitan memulai dan mengakhiri proses pembelajaran dikelas. Pengembangan media diorama untuk meningkatkan pemahaman. Rencana pelaksanaan pembelajaran kelas rangkap( rpp kelas rangkap). Rpp pembelajaran kelas rangkap model 211 guru paud. Setiap tema terdiri dari 3 subtema, dan setiap subtema terdiri dari 6 demikian yang dapat kami bagikan tentang rpp kurikulum 2013 kelas 4 semester 1 revisi terbaru secara gratis. Jurnal harian k13 sd kelas 1,2,3,4,5,6 yang mana file tersebut adalah contoh format jurnal harian guru sd k13 revisi 2018.jurnal harian kurikulum apa itu jurnal harian guru sd k13?
Rpp pkr model 3 3 3 rencana pelaksanaan pembelajaran r p p.
Rpp k 13 revisi uny. Masalah/kendala yang saya alami saat melakukan praktek pembelajaran kelas rangkap di kelas saya sendiri adalah pembagian waktu antara kelas 4 dan kelas 5. Pembelajaran tematik pada kelas iv semester 1 terdiri dari 5 tema. Rpp k13 kelas 4 kurikulum. Rpp pkr model 3 3 3 rencana pelaksanaan pembelajaran r p p. Pengembangan media diorama untuk meningkatkan pemahaman. · siswa kelas 5 mengamati gambar beberapa hewan yang di perlihatkan guru di papan tulis, sementara kelas 4 mengamati gambar lambang pramuka tunas kelapa dan gambar pohon kelapa. Ipa (kelas iv) 3.5 mengidentifikasi berbagai sumber energi, perubahan bentuk energi, dan sumber energi alternatif (angin, air, matahari, panas bumi instrumen supervisi (k13) almuslimin baru. Rencana pelaksanaan pembelajaran kelas rangkap 222. Unknown 8 november 2016 13.54. Setiap tema terdiri dari 3 subtema, dan setiap subtema terdiri dari 6 demikian yang dapat kami bagikan tentang rpp kurikulum 2013 kelas 4 semester 1 revisi terbaru secara gratis. Rpp k13 kelas 5 merupakan salah satu komponen perangkat pembelajaran yang memiliki fungsi untuk mengarahkan perangkat rpp k13 kelas 5 ini kami berikan terutama sebagai bentuk kontribusi kami pada model rpp yang dieksplor ataupun dikembangkan dalam kurikulum 2013 adalah rpp yang. E.media dan sumber :gambarspidolselotippapan tulisbuku pelajaran ilmu sosial untuk sd kelas mendeskripsikan alat pernafasankerjasama dan tertulis.
Perangkat pembelajaran k13 kelas 4 revisi 2019 guraruguraru. Model 221 2 mata pelajaran 2 tingkatan kelas berbeda 1 ruangan. Contoh rpp kelas rangkap model 221. Masalah/kendala yang saya alami saat melakukan praktek pembelajaran kelas rangkap di kelas saya sendiri adalah pembagian waktu antara kelas 4 dan kelas 5. Rpp k13 kelas 5 merupakan salah satu komponen perangkat pembelajaran yang memiliki fungsi untuk mengarahkan perangkat rpp k13 kelas 5 ini kami berikan terutama sebagai bentuk kontribusi kami pada model rpp yang dieksplor ataupun dikembangkan dalam kurikulum 2013 adalah rpp yang.
Rpp Kelas Rangkap Model 221 K13 Kelas 4 Dan 5 Seputar Model from lh4.googleusercontent.com
Setiap tema terdiri dari 3 subtema, dan setiap subtema terdiri dari 6 demikian yang dapat kami bagikan tentang rpp kurikulum 2013 kelas 4 semester 1 revisi terbaru secara gratis. · siswa kelas 5 mengamati gambar beberapa hewan yang di perlihatkan guru di papan tulis, sementara kelas 4 mengamati gambar lambang pramuka tunas kelapa dan gambar pohon kelapa. Gunakan link unduh pemetaan kd kelas 4 kurikulum 2013 revisi 2017 sebagai referensi yang baik dan benar sesuai permendikbud terbaru. Demi menjaga keselamatan dan kesehatan para siswa, sejumlah satuan pendidikan menerapkan sistem pembelajaran online atau virtual tanpa tatap muka langsung di kelas. Rpp k13 satu lembar/halaman tematik terpadu kelas 4 sd/mi semester 1 dan 2 adalah perangkat pembelajaran yang disusun sesuai dengan silabus. Free download rpp bahasa indonesia kelas i sma k13 kanal. Bila anda merasa kesulitan bisa tanyakan langsung pada admin melalui facebook atau media sosial lainnya. Pengembangan media diorama untuk meningkatkan pemahaman.
Rpp 221 kelas 2 dan 3 semester 2 kanal jabar.
Unknown 8 november 2016 13.54. .model 221 rencana pelaksanaan pembelajaran kelas rangkap ( rpp kelas rangkap) mata pelajaran : Format penilaian apkg 1 dan 2. Rpp ipa biologi kelas 8 model pbl cover rpp k13 cover. Rencana pelaksanaan pembelajaran kelas rangkap. Tugas rpp pkr 221 sudarti. Demi menjaga keselamatan dan kesehatan para siswa, sejumlah satuan pendidikan menerapkan sistem pembelajaran online atau virtual tanpa tatap muka langsung di kelas. Kelas rangkap model 221 kelas 1 dan 2 semester 1 contoh file berikut ini adalah kumpulan dari berbagi sumber tentang rpp kelas rangkap model rpp tematik kelas 2 semester 2, rpp lingkaran kelas 8 k13 doc, rpp kelas 7 bahasa indonesia, rpp ekonomi kelas xi kurikulum 2013, rpp novel. E.media dan sumber :gambarspidolselotippapan tulisbuku pelajaran ilmu sosial untuk sd kelas mendeskripsikan alat pernafasankerjasama dan tertulis. Selain model rpp kelas rangkap di kelas rendah ada juga presentasi dengan rpp kelas rangkap model 221 kelas tinggi (4 & 5). Pengembangan media diorama untuk meningkatkan pemahaman. Kunjungi juga administrasi lengkap pjok sd, smp, sma, smk semester 1 dan 2 edisi revisi 2018. Perangkat pembelajaran sd kelas 1 k13 lengkap.