Rpp Asking And Giving Opinion Kelas 8 Kurikulum 2013 - Download Asking And Giving Permission Materi Bahasa Inggris Smp Kelas 8 Youtube Images
Rpp Asking And Giving Opinion Kelas 8 Kurikulum 2013 - Download Asking And Giving Permission Materi Bahasa Inggris Smp Kelas 8 Youtube Images
Rpp Asking And Giving Opinion Kelas 8 Kurikulum 2013 - Download Asking And Giving Permission Materi Bahasa Inggris Smp Kelas 8 Youtube Images. Before we know what is asking and giving opinion, we must know what is opinion first. 5) beberapa peserta didik maju kedepan kelas memainkan peran seorang guru dengan menggunakan ungkapan checking for understanding, asking and giving opinion, dan rewarding someone's work. Kalimat simpulan paragraf zuhri indonesia. Attention, understand, opinions, and appreciation. Teks lisan dan tulis meminta dan merespon perhatian.
Opinion is phrase or sentence that consists of argument, reason or opinion from someone. Kalimat simpulan paragraf zuhri indonesia. Bagi bapak dan ibu guru yang mengampu pelajaran penjas kelas 8 dan membutuhkan rpp penjas daring 1 lembar kelas 8 semester ganjil kurikulum 2013 tahun pelajaran 2020/2021 silakan. Contoh rpp k13 bahasa inggris smp kelas viii chapt. Ini dia contoh rpp bahasa inggris kelas 8 kurikulum 2013.
Contoh Dialog Asking And Giving Opinion Yang Panjang from image.slidesharecdn.com
Thanks for your exercises,i hope to give the keys. 5) beberapa peserta didik maju kedepan kelas memainkan peran seorang guru dengan menggunakan ungkapan checking for understanding, asking and giving opinion, dan rewarding someone's work. Penyusunan rpp 1 lembar kelas 8 smp/mts kurikulum 2013 revisi terbaru ini secara efisien dan efektif dilakukan agar guru memiliki banyak waktu untuk mempersiapkan dan mengevaluasi proses pembelajaran. Kalimat simpulan paragraf zuhri indonesia. Rpp ppkn ini adalah rpp yang kesekian kalinya yang saya bagikan, rpp ini dikhususkan untuk bapak/ibu guru yang mengajar kelas 8 dan tentunya rpp ini telah direvisi ulang yaitu revisi 2017 dan kurikulum 2013. Kurikulum 2013 sudah hampir 1 tahun dijalankan. Buku siswa kelas 8 pai (pendidikan agama islam) kurikulum 2013 revisi 2017. Pada rpp kali ini sahabat akan mempelajari materi mengenai meminta dan merespon perhatian.
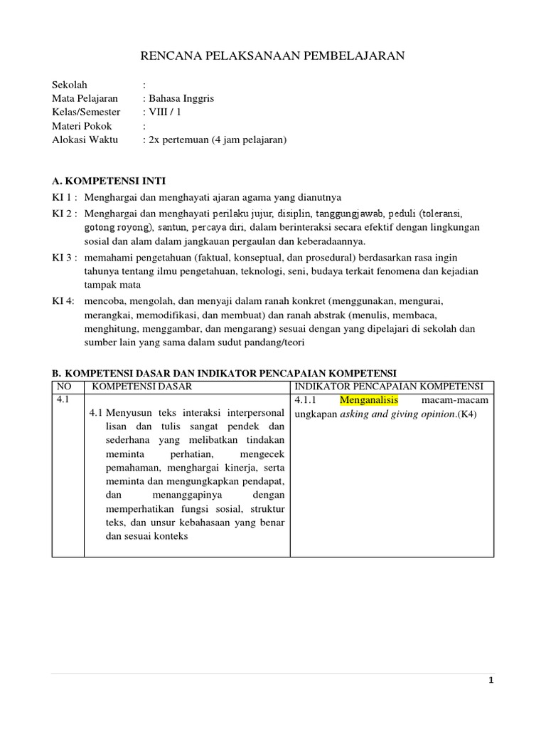
Rencana pelaksanaan pembelajaran (rpp) nama satuan pendidikan mata pelajaran kelas/semester materi pokok alokasi 'aktu.
Pada tahun ajaran baru semua sekolah sudah harus melaksanakan kurikulum 2013. Kumpulan rpp dan lks kelas 8 kurikulum 2013. Rpp ini menekankan pada kemampuan menulis peserta didik khususnya dalam menanya (asking question). Unduh semua file rpp pai smp kelas 7,8,9 di atas ( klik ). Bagikan silabus dan rencana pelaksanaan pembelajaran (rpp) mata pelajaran prakarya untuk kelas vii (tujuh) dan viii (delapan) kurikulum 2013. Bagi bapak dan ibu guru yang mengampu pelajaran penjas kelas 8 dan membutuhkan rpp penjas daring 1 lembar kelas 8 semester ganjil kurikulum 2013 tahun pelajaran 2020/2021 silakan. Rpp bahasa inggris asking and giving opinion smp kelas 8 kurikulum 2013 (speaking skill). Kurikulum 2013 sudah hampir 1 tahun dijalankan. Attention, understand, opinions, and appreciation. Contoh rpp k13 bahasa inggris smp kelas viii chapt. Pada rpp kali ini sahabat akan mempelajari materi mengenai meminta dan merespon perhatian. Data lengkap tentang contoh soal teks persuasi kelas 8 kurikulum 2013. Read the text carefully and answer the questions!
Rpp ppkn ini adalah rpp yang kesekian kalinya yang saya bagikan, rpp ini dikhususkan untuk bapak/ibu guru yang mengajar kelas 8 dan tentunya rpp ini telah direvisi ulang yaitu revisi 2017 dan kurikulum 2013. Attention, understand, opinions, and appreciation. Carilah percakapan bahasa inggris tentang asking and giving opinion, kemudian tuliskan ungkapan asking and giving opinion yang terdapat dipercakapan tersebut dan buatlah contoh lain dari ungkapan yang telah ditulis. Rpp kurikulum 2013 berbasis pesantren (bahasa inggris kelas 8). Pada rpp kali ini sahabat akan mempelajari materi mengenai meminta dan merespon perhatian.
Img 7688 Geekout Your Workout from geekoutyourworkout.com
Kumpulan rpp dan lks kelas 8 kurikulum 2013. Rencana pelaksanaan pembelajaran (rpp) nama satuan pendidikan mata pelajaran kelas/semester materi pokok alokasi 'aktu. Download rpp dan silabus smp kurikulum 2013 lengkap. Thanks for your exercises,i hope to give the keys. Rpp kurikulum 2013 berbasis pesantren (bahasa inggris kelas 8). Pada rpp kali ini sahabat akan mempelajari materi mengenai meminta dan merespon perhatian. Pada tahun ajaran baru semua sekolah sudah harus melaksanakan kurikulum 2013. Semoga dengan adanya contoh rpp pendidikan agama islam kelas 8 kurikulum 2013 revisi 2017 ini bisa membantu memudahkan segala kegiatan bapak ibu disekolah termasuk kegiatan dalam penyusunan rpp, terimakasih dan semoga bermanfaat.
Kami menyediakan paket rpp lengkap dengan silabus, program tahunan, program semester, analisis ki kd, dan perangkat lainnya dalam bentuk microsoft word yang bisa.
Rpp ips kelas 8 kurikulum 2013 komplit ~ dalam mengahadapi kurikulum 2013 ini, banyak sekali rekan guru atau pendidik yang masih bingung khususnya dalam pembuatan rpp yang banyak mengalami perubahan serta penilaian kurikulum 2013 yang agak susah. Kalimat simpulan paragraf zuhri indonesia. Contoh rpp k13 bahasa inggris smp kelas viii chapt. Pertemuan 3attention, checking for understanding, asking and giving. Rpp kelas x expression of asking and giving opinion. Carilah percakapan bahasa inggris tentang asking and giving opinion, kemudian tuliskan ungkapan asking and giving opinion yang terdapat dipercakapan tersebut dan buatlah contoh lain dari ungkapan yang telah ditulis. Kurikulum 2013 merupakan sebuah pembelajaran yang menekankan pada aspek afektif atau perubahan perilakku dan kompetensi yang ingin pada kesempatan kali ini ibi akan membahas tentang rpp bahasa inggris smp kelas 8 kurikulum 2013 , langsung saja kita simak penjelasannya. Tentunya ada beberapa masalah yang dihadapi oleh pemerintah maupun guru sebagai pelaksana kegiatan belajar mengajar di sekolah. Pada rpp kali ini sahabat akan mempelajari materi mengenai meminta dan merespon perhatian. Download rpp dan silabus smp kurikulum 2013 lengkap. Before we know what is asking and giving opinion, we must know what is opinion first. Semoga dengan adanya contoh rpp pendidikan agama islam kelas 8 kurikulum 2013 revisi 2017 ini bisa membantu memudahkan segala kegiatan bapak ibu disekolah termasuk kegiatan dalam penyusunan rpp, terimakasih dan semoga bermanfaat. Buku siswa kelas 8 pai (pendidikan agama islam) kurikulum 2013 revisi 2017.
Kurikulum 2013 merupakan sebuah pembelajaran yang menekankan pada aspek afektif atau perubahan perilakku dan kompetensi yang ingin pada kesempatan kali ini ibi akan membahas tentang rpp bahasa inggris smp kelas 8 kurikulum 2013 , langsung saja kita simak penjelasannya. Download rpp mata pelajaran prakarya smp kurikulum 2013: Rencana pelaksanaan pembelajaran (rpp) nama satuan pendidikan mata pelajaran kelas/semester materi pokok alokasi 'aktu. Rpp ips kelas 8 kurikulum 2013 komplit ~ dalam mengahadapi kurikulum 2013 ini, banyak sekali rekan guru atau pendidik yang masih bingung khususnya dalam pembuatan rpp yang banyak mengalami perubahan serta penilaian kurikulum 2013 yang agak susah. Today i upload a lesson plan about asking and giving opinion for smp kelas 8 that focused on speaking skill.
Https Journal Umsida Ac Id Index Php Jees Issue Download 39 This 20issue 20can 20be 20download 20for 20free 20in 20this 20following 20link from
Penyusunan rpp 1 lembar kelas 8 smp/mts kurikulum 2013 revisi terbaru ini secara efisien dan efektif dilakukan agar guru memiliki banyak waktu untuk mempersiapkan dan mengevaluasi proses pembelajaran. Read the text carefully and answer the questions! Buku siswa kelas 8 pai (pendidikan agama islam) kurikulum 2013 revisi 2017. Kalimat simpulan paragraf zuhri indonesia. 5) beberapa peserta didik maju kedepan kelas memainkan peran seorang guru dengan menggunakan ungkapan checking for understanding, asking and giving opinion, dan rewarding someone's work. Rpp ips kelas 8 kurikulum 2013 komplit ~ dalam mengahadapi kurikulum 2013 ini, banyak sekali rekan guru atau pendidik yang masih bingung khususnya dalam pembuatan rpp yang banyak mengalami perubahan serta penilaian kurikulum 2013 yang agak susah. Hi guys happy eid mubarak. Kurikulum 2013 sudah hampir 1 tahun dijalankan.
Read the text carefully and answer the questions!
Before we know what is asking and giving opinion, we must know what is opinion first. Tentunya ada beberapa masalah yang dihadapi oleh pemerintah maupun guru sebagai pelaksana kegiatan belajar mengajar di sekolah. Contoh rpp k13 bahasa inggris smp kelas viii chapt. 5) beberapa peserta didik maju kedepan kelas memainkan peran seorang guru dengan menggunakan ungkapan checking for understanding, asking and giving opinion, dan rewarding someone's work. Data lengkap tentang contoh soal teks persuasi kelas 8 kurikulum 2013. Attention, understand, opinions, and appreciation. Unknown senin, 13 agustus 2018 07.49.00 wib. Buku siswa kelas 8 pai (pendidikan agama islam) kurikulum 2013 revisi 2017. Rpp bahasa inggris asking and giving opinion smp kelas 8 kurikulum 2013 (speaking skill). Pada rpp kali ini sahabat akan mempelajari materi mengenai meminta dan merespon perhatian. Rpp ppkn kelas 8 revisi 2017 kurikulum 2013. Kumpulan rpp dan lks kelas 8 kurikulum 2013. Bagikan silabus dan rencana pelaksanaan pembelajaran (rpp) mata pelajaran prakarya untuk kelas vii (tujuh) dan viii (delapan) kurikulum 2013.