34+ Kunci Jawaban Auditing And Assurance Services 16Th Edition PNG
34+ Kunci Jawaban Auditing And Assurance Services 16Th Edition PNG
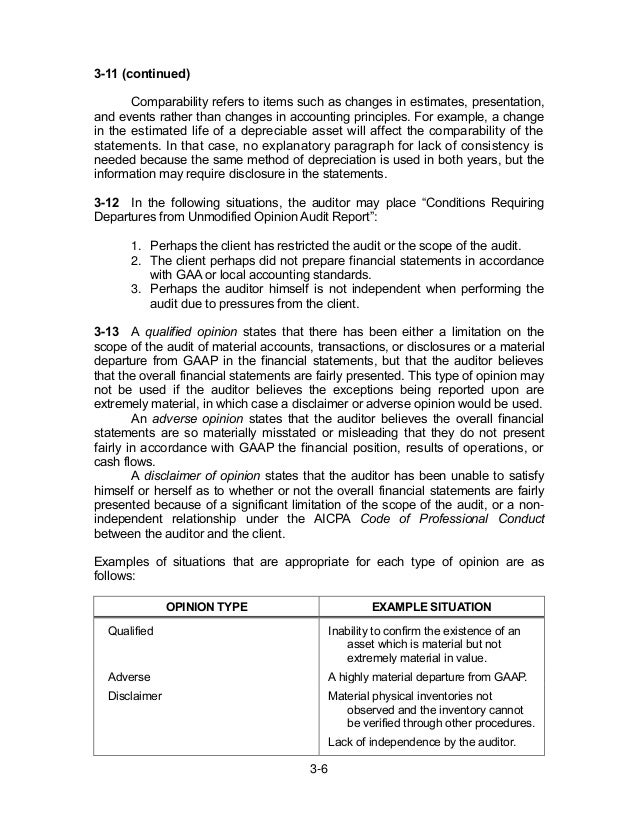
34+ Kunci Jawaban Auditing And Assurance Services 16Th Edition
PNG. Sms aja atau wa 085601873837. Solution manual auditing and assurance services 13e by arens chapter 17.en.id.
Auditing And Assurance Service 16th Edition Alvin Arens Shopee Indonesia from cf.shopee.co.id
The demand for audit and other assurance services. Oleh karena itu, ketika kompilasi, auditor dapat menerbitkan laporan yang tidak modifikasi secara substansial, tetapi tetap mengikuti prinsip akuntansi yang diterima umum. Pdf auditing and assurance services 14th edition solution manual pdf ps, peugeot 206 cc haynes manual pdf.
Sms aja atau wa 085601873837.
Read free book auditing and assurance services (16th edition) | online pdf free download here Ebook auditing assurance services, 5th edition (auditing and assurance services) free read. Chapter 13 overall audit plan and audit program. Free download slide advanced accounting beams 10th edition untuk download gratis slide materi akuntansi keuangan lanjutan beams edisi 10.